Задать свой вопрос
*более 50 000 пользователей получили ответ на «Решим всё»
Задача 79410
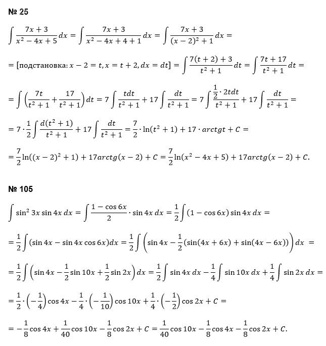
Нужно решить задачу номер 25 и 105...
Условие
675ab27187aa81739148baf3
2/28/2025 11:15:51 AM
Нужно решить задачу номер 25 и 105
51
Решение
5f3eaa23faf909182968dde0
2/28/2025 5:49:49 PM
★
Написать комментарий
Меню
Решим всё
Найти задачу
Категории
Статьи
Тесты
Архив задач
Присоединяйся в ВК