Задать свой вопрос   *более 50 000 пользователей получили ответ на «Решим всё»

Задача 79404 Определить тип дифференциального...

Условие

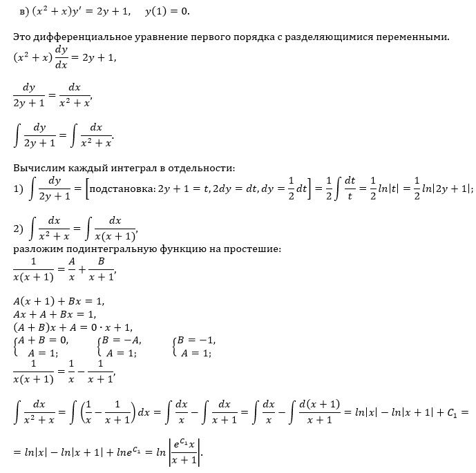
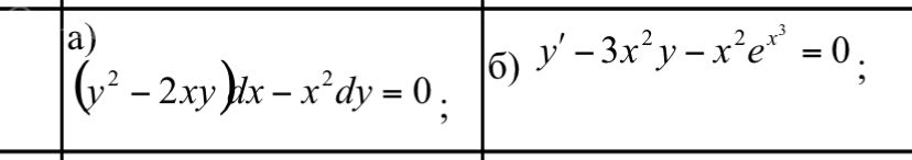
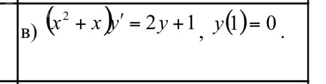
Определить тип дифференциального уравнения и найти его общее решение. Решить задачу Коши, если указано начальное условие.

математика ВУЗ 88

Решение

Написать комментарий

Меню

Присоединяйся в ВК