Задать свой вопрос
*более 50 000 пользователей получили ответ на «Решим всё»
Задача 79387
Вычислить пределы функций (прошу с...
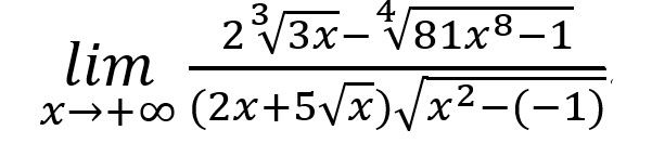
Условие
677a2db18d98915ef034619e
2/22/2025 11:26:07 AM
Вычислить пределы функций (прошу с подробным решением)
математика ВУЗ
55
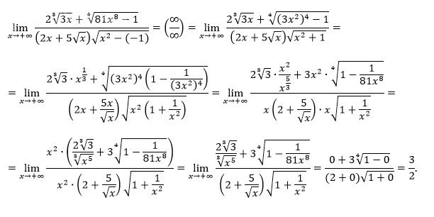
Решение
5f3eaa23faf909182968dde0
2/22/2025 3:04:17 PM
★
Написать комментарий
Меню
Решим всё
Найти задачу
Категории
Статьи
Тесты
Архив задач
Присоединяйся в ВК