Задать свой вопрос
*более 50 000 пользователей получили ответ на «Решим всё»
Задача 79374
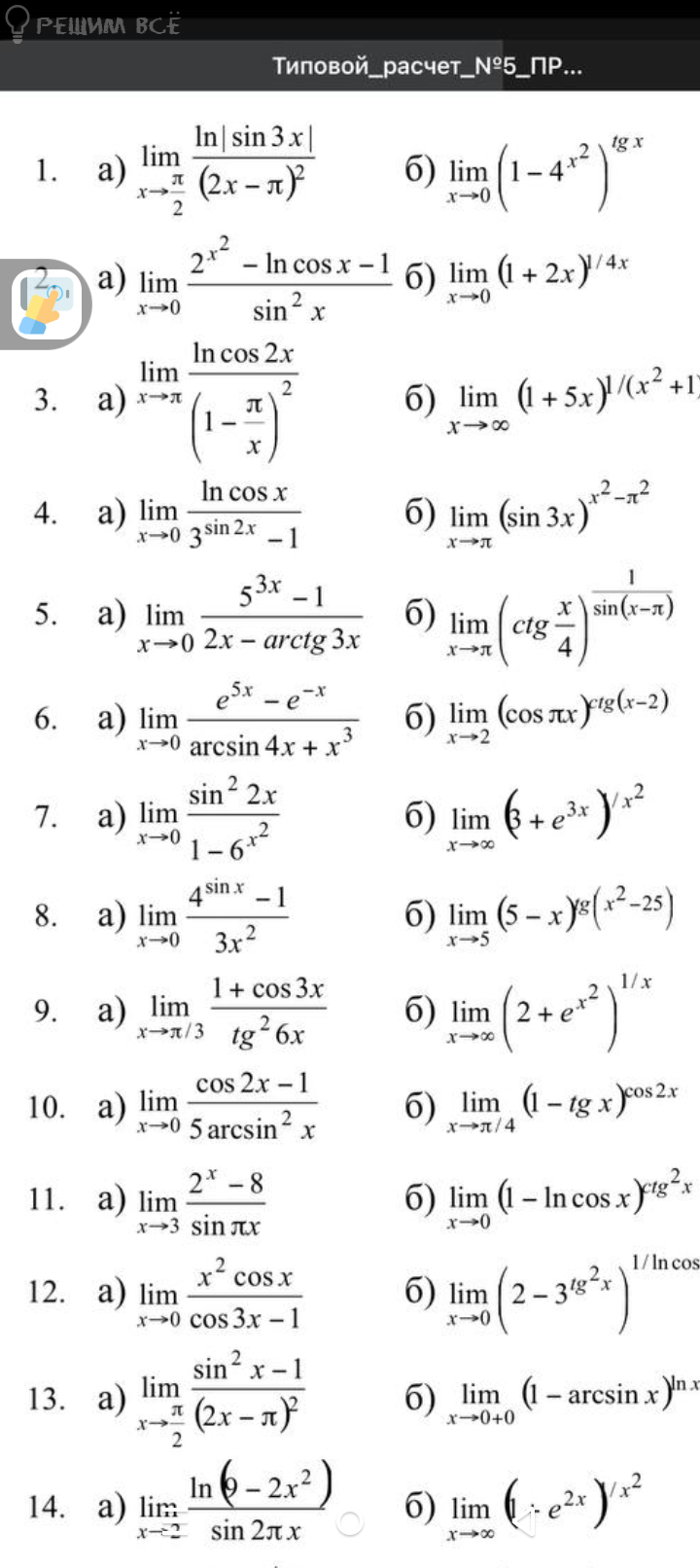
Решить задачу с помощью правило Лопиталя...
Условие
675ab27187aa81739148baf3
2/20/2025 5:10:45 PM
Решить задачу с помощью правило Лопиталя номер 7
57
Решение
5f3eaa23faf909182968dde0
2/21/2025 7:05:24 AM
★
Написать комментарий
Меню
Решим всё
Найти задачу
Категории
Статьи
Тесты
Архив задач
Присоединяйся в ВК