Задать свой вопрос   *более 50 000 пользователей получили ответ на «Решим всё»

Задача 79362 Найти производную 17 а б в ...

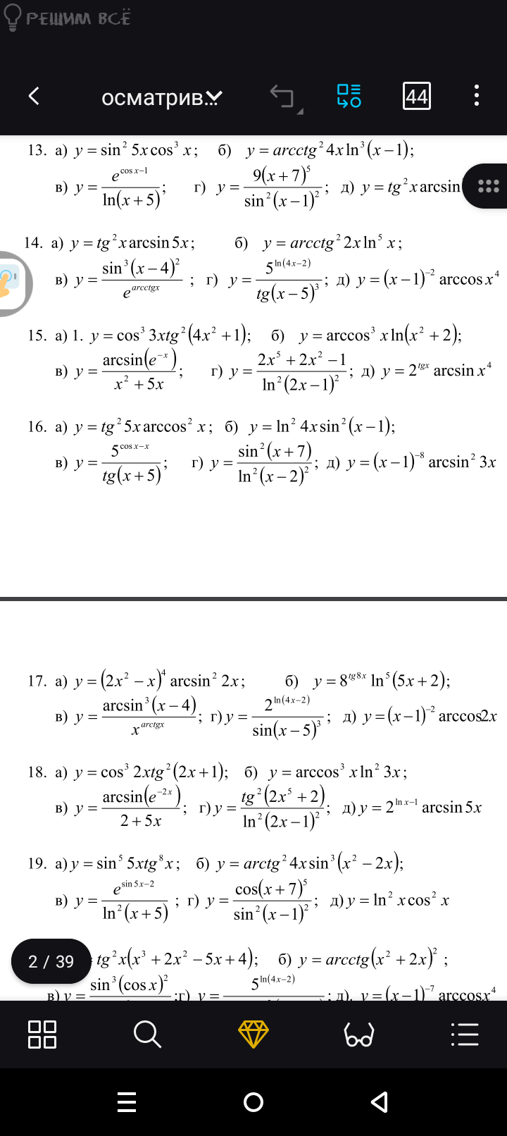
Условие

Найти производную 17 а б в

74

Решение

а) y = (2x^2 - x)^4*arcsin^2 2x = (2x^2 - x)^4*(arcsin 2x)^2
[m]y' = 4(2x^2 - x)^3(4x - 1)(arcsin 2x)^2 + (2x^2 - x)^4 \cdot \frac{2arcsin(2x)}{\sqrt{1-4x^2}} \cdot 2[/m]
[m]y' = 4(2x^2 - x)^3 \cdot arcsin(2x)[(4x - 1) arcsin 2x + \frac{2x^2 - x}{\sqrt{1-4x^2}}][/m]

б) [m]y = 8^{tg(8x)} \ln^5(5x+2)[/m]
[m]y' = 8^{tg(8x)} \ln 8 \cdot \frac{8}{\cos^2 8x} \cdot \ln^5(5x+2) + 8^{tg(8x)} \cdot 5\ln^4 (5x+2) \cdot \frac{5}{5x+2}[/m]
[m]y' = 8^{tg(8x)} \ln^4 (5x+2) [\frac{8 \ln 8}{\cos^2 8x} \cdot \ln(5x+2) + \frac{25}{5x+2}][/m]

в) [m]y = \frac{arcsin^3(x-4)}{x^{arctg(x)}}[/m]
[m]y' = \frac{3 arcsin^2(x-4) \cdot 1/ \sqrt{1-(x-4)^2} \cdot x^{arctg(x)} - arcsin^3(x-4) (arctg(x) \cdot x^{arctg(x)-1} + x^{arctg(x)} \cdot \ln x \cdot 1/(1+x^2))}{x^{2arctg(x)}}[/m]

[m]y' = \frac{3 arcsin^2(x-4) \cdot 1/ \sqrt{1-(x-4)^2} - arcsin^3(x-4) (arctg(x) \cdot x^{-1} + \ln x \cdot 1/(1+x^2))}{x^{arctg(x)}}[/m]

Написать комментарий

Меню

Присоединяйся в ВК