Задать свой вопрос
*более 50 000 пользователей получили ответ на «Решим всё»
Задача 79360
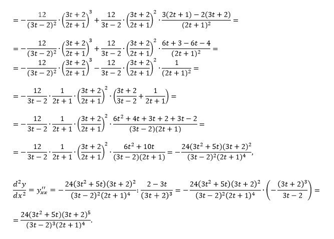
Найти первую и вторую производную 17 а и...
Условие
675ab27187aa81739148baf3
2/19/2025 2:57:22 PM
Найти первую и вторую производную 17 а и б
76
Решение
5f3eaa23faf909182968dde0
2/19/2025 7:27:28 PM
★
Написать комментарий
Меню
Решим всё
Найти задачу
Категории
Статьи
Тесты
Архив задач
Присоединяйся в ВК