Задать свой вопрос
*более 50 000 пользователей получили ответ на «Решим всё»
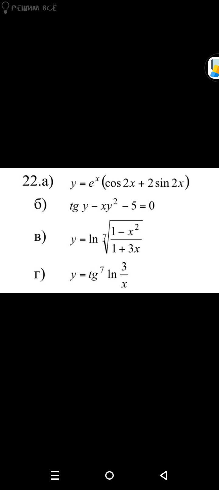
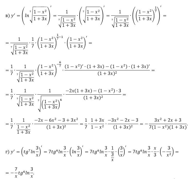
Задача 79228
Нужно решить задачу в и г...
Условие
663059f11c8a9f386839038b
1/23/2025 4:40:04 PM
Нужно решить задачу в и г
86
Решение
5f3eaa23faf909182968dde0
2/3/2025 8:54:49 AM
★
Написать комментарий
Меню
Решим всё
Найти задачу
Категории
Статьи
Тесты
Архив задач
Присоединяйся в ВК