Задать свой вопрос
*более 50 000 пользователей получили ответ на «Решим всё»
Задача 79172
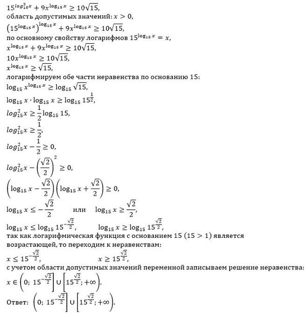
Логарифмическое неравенство. В Формате...
Условие
6557855650c6682656d99b3e
1/14/2025 9:05:42 PM
Логарифмическое неравенство. В Формате ЕГЭ. Решала логарифмированием ответ получается объемный
математика 10-11 класс
159
Решение
5f3eaa23faf909182968dde0
1/15/2025 6:10:01 AM
★
Написать комментарий
Меню
Решим всё
Найти задачу
Категории
Статьи
Тесты
Архив задач
Присоединяйся в ВК