Задать свой вопрос
*более 50 000 пользователей получили ответ на «Решим всё»
Задача 79165
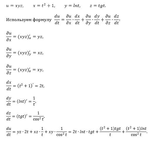
найти du/dt, если u=xyz, где x=t^2+1,...
Условие
678016d48d98915ef0346668
1/13/2025 12:09:49 AM
найти du/dt, если u=xyz, где x=t^2+1, y=lnt, z=tgt
математика ВУЗ
220
Решение
5f3eaa23faf909182968dde0
1/13/2025 5:00:29 AM
★
Написать комментарий
Меню
Решим всё
Найти задачу
Категории
Статьи
Тесты
Архив задач
Присоединяйся в ВК