Задать свой вопрос
*более 50 000 пользователей получили ответ на «Решим всё»
Задача 79096
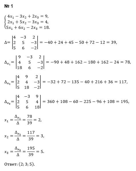
Нужно решить задачу номер 1...
Условие
663059f11c8a9f386839038b
1/1/2025 11:30:02 AM
Нужно решить задачу номер 1
69
Решение
5f3eaa23faf909182968dde0
1/1/2025 2:20:03 PM
★
Написать комментарий
Меню
Решим всё
Найти задачу
Категории
Статьи
Тесты
Архив задач
Присоединяйся в ВК