Задать свой вопрос
*более 50 000 пользователей получили ответ на «Решим всё»
Задача 79062
Нужно решить с помощью правило Лопиталя...
Условие
675ab27187aa81739148baf3
12/24/2024 12:53:17 PM
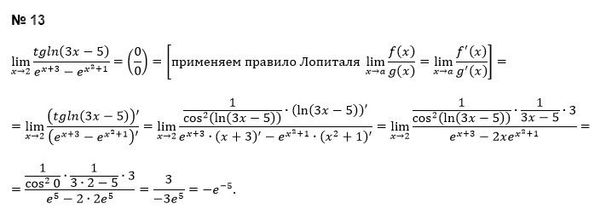
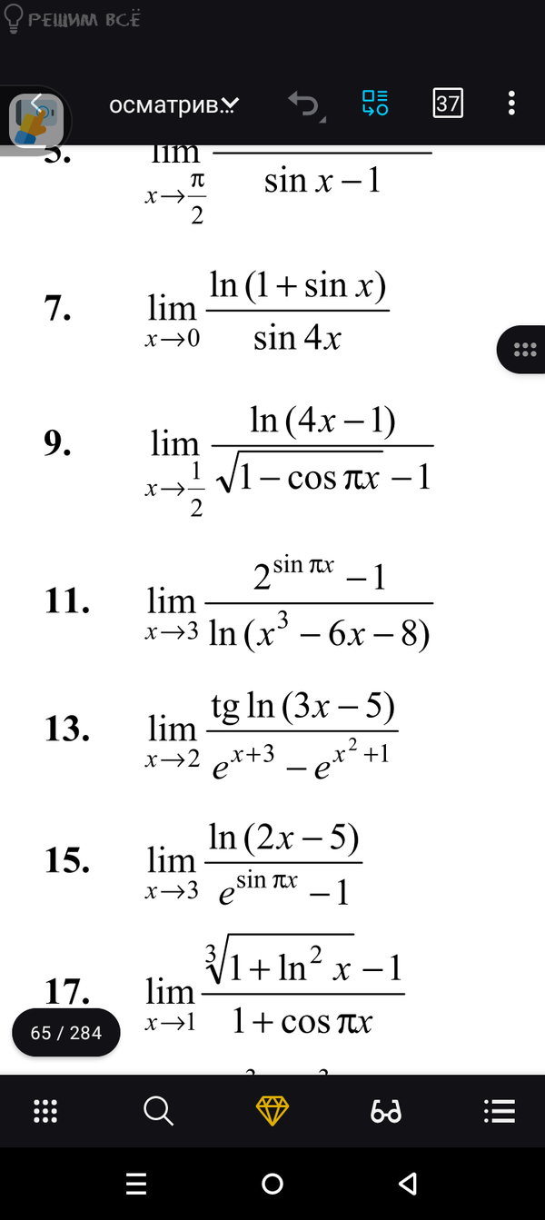
Нужно решить с помощью правило Лопиталя номер 13
80
Решение
5f3eaa23faf909182968dde0
12/24/2024 3:08:15 PM
★
Написать комментарий
Меню
Решим всё
Найти задачу
Категории
Статьи
Тесты
Архив задач
Присоединяйся в ВК