Задать свой вопрос
*более 50 000 пользователей получили ответ на «Решим всё»
Задача 79060
Вычислить пределы функций с помощью...
Условие
675ab27187aa81739148baf3
12/24/2024 9:34:25 AM
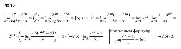
Вычислить пределы функций с помощью эквивалентных бесконечно малых. Номер 13
76
Решение
5f3eaa23faf909182968dde0
12/24/2024 12:23:12 PM
★
Написать комментарий
Меню
Решим всё
Найти задачу
Категории
Статьи
Тесты
Архив задач
Присоединяйся в ВК