Задать свой вопрос
*более 50 000 пользователей получили ответ на «Решим всё»
Задача 78990
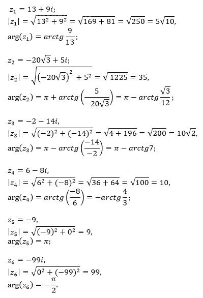
Задание на фото , нужно придумать самому...
Условие
663059f11c8a9f386839038b
12/16/2024 7:31:31 PM
Задание на фото , нужно придумать самому ,не с интернета
96
Решение
5f3eaa23faf909182968dde0
12/16/2024 9:19:29 PM
★
Написать комментарий
Меню
Решим всё
Найти задачу
Категории
Статьи
Тесты
Архив задач
Присоединяйся в ВК