Задать свой вопрос
*более 50 000 пользователей получили ответ на «Решим всё»
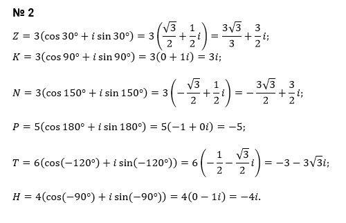
Задача 78987
Нужно решение, подробнее ...
Условие
663059f11c8a9f386839038b
12/16/2024 4:40:49 PM
Нужно решение, подробнее
102
Решение
5f3eaa23faf909182968dde0
12/16/2024 6:38:58 PM
★
Написать комментарий
Меню
Решим всё
Найти задачу
Категории
Статьи
Тесты
Архив задач
Присоединяйся в ВК