Задать свой вопрос
*более 50 000 пользователей получили ответ на «Решим всё»
Задача 78968
...
Условие
675ebfca81699f399ffe4676
12/15/2024 12:04:33 PM
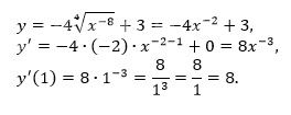
Найдите производную функции
y = -4√(9x^2) + 3
В ответ введите значение y'(1).
математика ВУЗ
116
Решение
5f3eaa23faf909182968dde0
12/15/2024 2:29:00 PM
★
Написать комментарий
Меню
Решим всё
Найти задачу
Категории
Статьи
Тесты
Архив задач
Присоединяйся в ВК