Задать свой вопрос
*более 50 000 пользователей получили ответ на «Решим всё»
Задача 78691
Потрібно на завтра до 13:00...
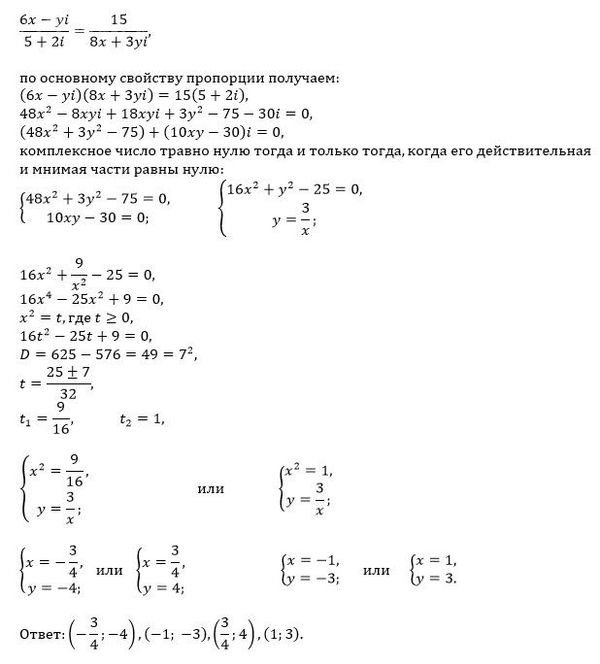
Условие
63a574f471db7b20f18f0ef7
11/8/2024 11:29:26 AM
Потрібно на завтра до 13:00
78
Решение
5f3eaa23faf909182968dde0
11/9/2024 7:47:41 AM
★
Написать комментарий
Меню
Решим всё
Найти задачу
Категории
Статьи
Тесты
Архив задач
Присоединяйся в ВК