Задать свой вопрос
*более 50 000 пользователей получили ответ на «Решим всё»
Задача 78689
Потрібно на завтра до 13:00...
Условие
63a574f471db7b20f18f0ef7
11/8/2024 11:29:04 AM
Потрібно на завтра до 13:00
80
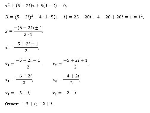
Решение
5f3eaa23faf909182968dde0
11/8/2024 4:54:34 PM
★
Написать комментарий
Меню
Решим всё
Найти задачу
Категории
Статьи
Тесты
Архив задач
Присоединяйся в ВК