Задать свой вопрос   *более 50 000 пользователей получили ответ на «Решим всё»

Задача 78613 распишите как в школе ????????...

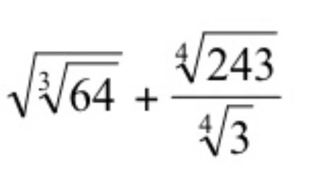
Условие

распишите как в школе ????????

10-11 класс 61

Решение

[m]\Large \sqrt{\sqrt[3]{64}} + \frac{\sqrt[4]{243}}{\sqrt[4]{3}} = \sqrt{4} + \sqrt[4]{\frac{243}{3}} = 2 + \sqrt[4]{81} = 2 + 3 = 5[/m]

Написать комментарий

Меню

Присоединяйся в ВК