Задать свой вопрос   *более 50 000 пользователей получили ответ на «Решим всё»

Задача 78612 распишите как в школе ????????...

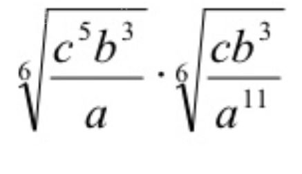
Условие

распишите как в школе ????????

10-11 класс 143

Решение

[m]\Large \sqrt[6]{\frac{c^5b^3}{a}} \cdot \sqrt[6]{\frac{cb^3}{a^{11}}} = \sqrt[6]{\frac{c^5b^3cb^3}{aa^{11}}} = \sqrt[6]{\frac{c^6b^6}{a^{12}}} = \frac{cb}{a^2}[/m]

Написать комментарий

Меню

Присоединяйся в ВК