Задать свой вопрос
*более 50 000 пользователей получили ответ на «Решим всё»
Задача 78606
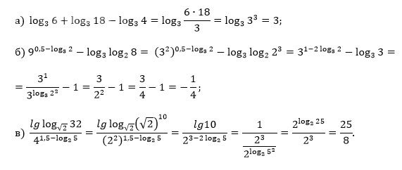
Решить 1 вариант логарифмы ...
Условие
65340659cb334f3437d1546b
11/1/2024 11:30:19 AM
Решить 1 вариант логарифмы
75
Решение
5f3eaa23faf909182968dde0
11/2/2024 4:53:43 PM
★
Написать комментарий
Меню
Решим всё
Найти задачу
Категории
Статьи
Тесты
Архив задач
Присоединяйся в ВК