Задать свой вопрос
*более 50 000 пользователей получили ответ на «Решим всё»
Задача 78537
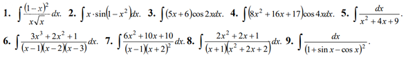
Найти интегралы:...
Условие
6584bbeb1bd5382f7192f893
10/23/2024 3:27:23 AM
Найти интегралы:
математика ВУЗ
275
Решение
67134e05bc8c5879e2b81317
10/24/2024 7:33:50 AM
★
Ответ в изображении. Я смог решить только 8 задач.
Написать комментарий
Меню
Решим всё
Найти задачу
Категории
Статьи
Тесты
Архив задач
Присоединяйся в ВК