Задать свой вопрос
*более 50 000 пользователей получили ответ на «Решим всё»
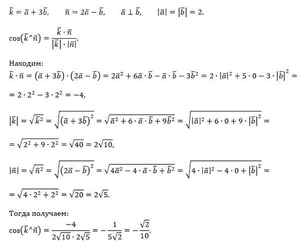
Задача 78493
Потрібно на завтра до 13:00...
Условие
63a574f471db7b20f18f0ef7
10/18/2024 7:17:15 AM
Потрібно на завтра до 13:00
нет в списке
126
Решение
5f3eaa23faf909182968dde0
10/18/2024 12:48:14 PM
★
Написать комментарий
Меню
Решим всё
Найти задачу
Категории
Статьи
Тесты
Архив задач
Присоединяйся в ВК