Задать свой вопрос
*более 50 000 пользователей получили ответ на «Решим всё»
Задача 78323
Потрібно на завтра до 12:00...
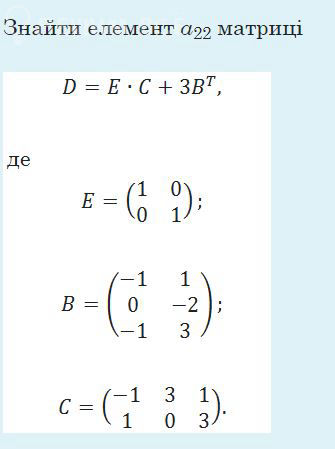
Условие
63a574f471db7b20f18f0ef7
9/27/2024 9:01:38 AM
Потрібно на завтра до 12:00
135
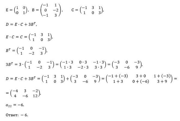
Решение
5f3eaa23faf909182968dde0
9/27/2024 6:29:41 PM
★
Написать комментарий
Меню
Решим всё
Найти задачу
Категории
Статьи
Тесты
Архив задач
Присоединяйся в ВК