Задать свой вопрос
*более 50 000 пользователей получили ответ на «Решим всё»
Задача 78234
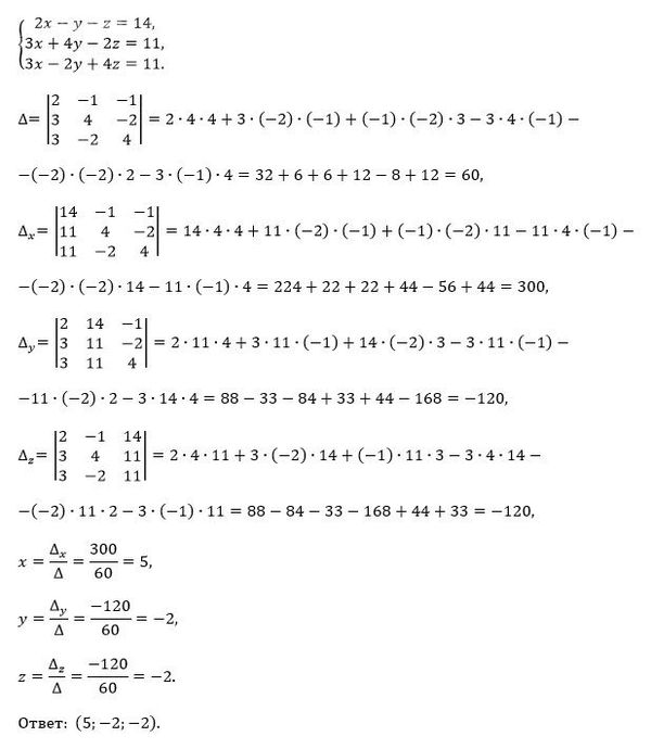
Решить задачу по Правилу Краммера...
Условие
66ead06b5974c737d5812bb6
9/20/2024 4:45:08 AM
Решить задачу по Правилу Краммера
126
Решение
5f3eaa23faf909182968dde0
9/20/2024 6:27:27 AM
★
Написать комментарий
Меню
Решим всё
Найти задачу
Категории
Статьи
Тесты
Архив задач
Присоединяйся в ВК