Задать свой вопрос
*более 50 000 пользователей получили ответ на «Решим всё»
Задача 78227
Потрібно на завтра до 12:00...
Условие
63a574f471db7b20f18f0ef7
9/19/2024 7:18:56 AM
Потрібно на завтра до 12:00
150
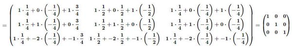
Решение
5f3eaa23faf909182968dde0
9/19/2024 8:53:14 AM
★
Написать комментарий
Меню
Решим всё
Найти задачу
Категории
Статьи
Тесты
Архив задач
Присоединяйся в ВК