Задать свой вопрос
*более 50 000 пользователей получили ответ на «Решим всё»
Задача 78136
Потрібно на сьогодні до 19:00...
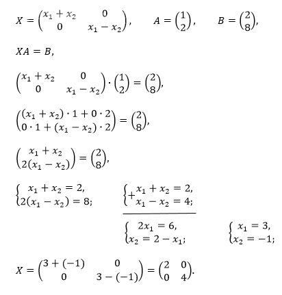
Условие
63a574f471db7b20f18f0ef7
9/6/2024 8:05:21 AM
Потрібно на сьогодні до 19:00
105
Решение
5f3eaa23faf909182968dde0
9/6/2024 10:47:18 AM
★
Написать комментарий
Меню
Решим всё
Найти задачу
Категории
Статьи
Тесты
Архив задач
Присоединяйся в ВК