Задать свой вопрос
*более 50 000 пользователей получили ответ на «Решим всё»
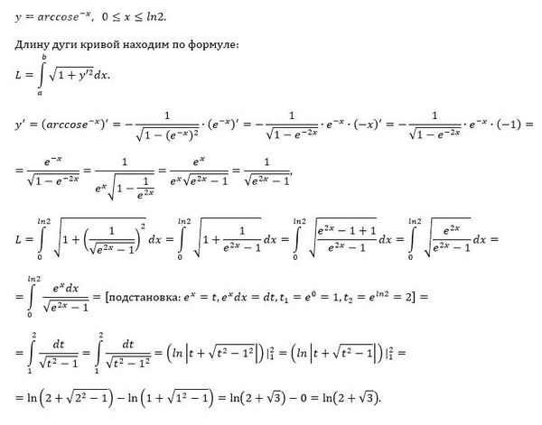
Задача 77685
Надо решить задачу номер 4...
Условие
6654737b3528112db82d8cf9
6/2/2024 4:28:55 PM
Надо решить задачу номер 4
математика
234
Решение
5f3eaa23faf909182968dde0
6/2/2024 4:31:43 PM
★
Написать комментарий
Меню
Решим всё
Найти задачу
Категории
Статьи
Тесты
Архив задач
Присоединяйся в ВК