Задать свой вопрос
*более 50 000 пользователей получили ответ на «Решим всё»
Задача 77684
Найти общее решение дифференциального...
Условие
65fabeb227f98b44f18c37d9
6/2/2024 10:57:49 AM
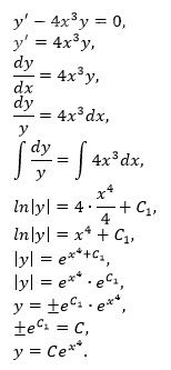
Найти общее решение дифференциального уравнения
математика ВУЗ
181
Решение
5f3eaa23faf909182968dde0
6/2/2024 11:19:10 AM
★
Написать комментарий
Меню
Решим всё
Найти задачу
Категории
Статьи
Тесты
Архив задач
Присоединяйся в ВК