Задать свой вопрос
*более 50 000 пользователей получили ответ на «Решим всё»
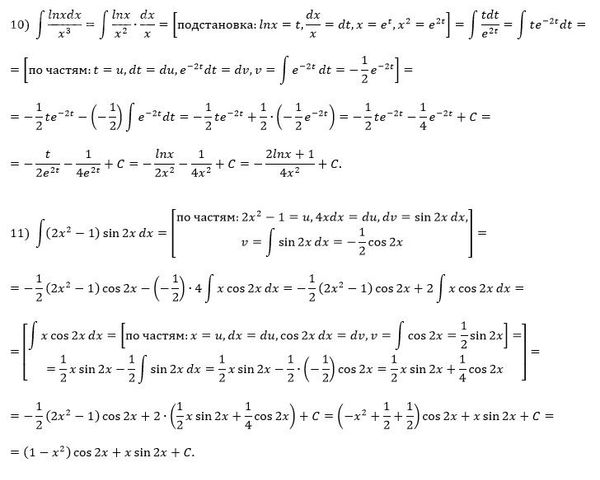
Задача 77627
вариант 4 №10,11,12...
Условие
6610e13ca4fded5f0eff603b
5/25/2024 9:15:10 AM
вариант 4 №10,11,12
математика ВУЗ
141
Решение
5f3eaa23faf909182968dde0
5/25/2024 11:18:13 AM
★
Написать комментарий
Меню
Решим всё
Найти задачу
Категории
Статьи
Тесты
Архив задач
Присоединяйся в ВК