Задать свой вопрос
*более 50 000 пользователей получили ответ на «Решим всё»
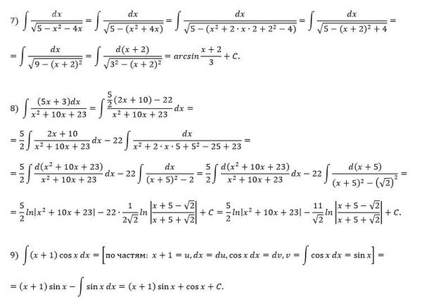
Задача 77626
вариант 4 №7,8,9...
Условие
6610e13ca4fded5f0eff603b
5/25/2024 8:21:23 AM
вариант 4 №7,8,9
математика ВУЗ
126
Решение
5f3eaa23faf909182968dde0
5/25/2024 10:19:51 AM
★
Написать комментарий
Меню
Решим всё
Найти задачу
Категории
Статьи
Тесты
Архив задач
Присоединяйся в ВК