Задать свой вопрос   *более 50 000 пользователей получили ответ на «Решим всё»

Задача 77620 Сведение квадратичной формы к...

Условие

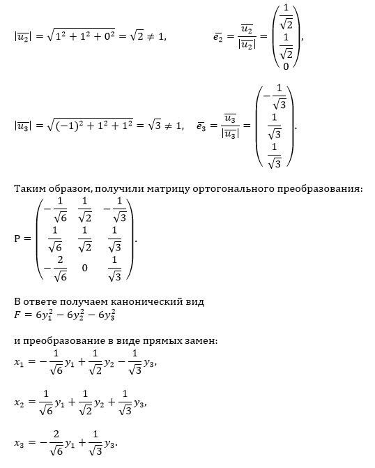
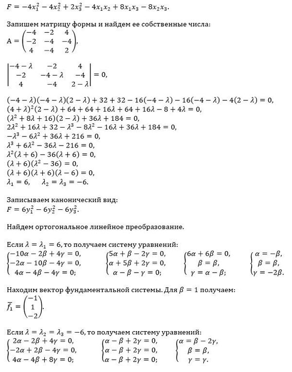
Сведение квадратичной формы к каноническому виду ортогональным линейным превращением:
Составить ортогональное линейное преобразование, сводящее квадратическую форму к главным осям, и записать вид формы в главных осях

математика ВУЗ 174

Решение

Написать комментарий

Меню

Присоединяйся в ВК