Задать свой вопрос
*более 50 000 пользователей получили ответ на «Решим всё»
Задача 77614
Перейдя к полярным координатам, найти...
Условие
6568773dc78099272c83a924
5/24/2024 7:08:46 AM
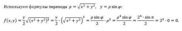
Перейдя к полярным координатам, найти значение функции
математика ВУЗ
140
Решение
5f3eaa23faf909182968dde0
5/24/2024 7:40:58 AM
★
Написать комментарий
Меню
Решим всё
Найти задачу
Категории
Статьи
Тесты
Архив задач
Присоединяйся в ВК