Задать свой вопрос   *более 50 000 пользователей получили ответ на «Решим всё»

Задача 77581 Как правильно прочитать эту формулу ...

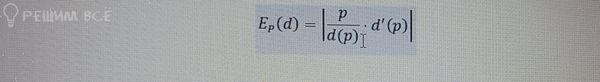
Условие

Как правильно прочитать эту формулу

математика 159

Решение

По-русски будет звучать так:
Е Пэ от Дэ равно модулю пэ делённое на Дэ от Пэ, умноженное на производную Дэ от Пэ.
А вот что это означает, я не уверен.

Написать комментарий

Меню

Присоединяйся в ВК