Задать свой вопрос   *более 50 000 пользователей получили ответ на «Решим всё»

Задача 77576 номер 3.15...

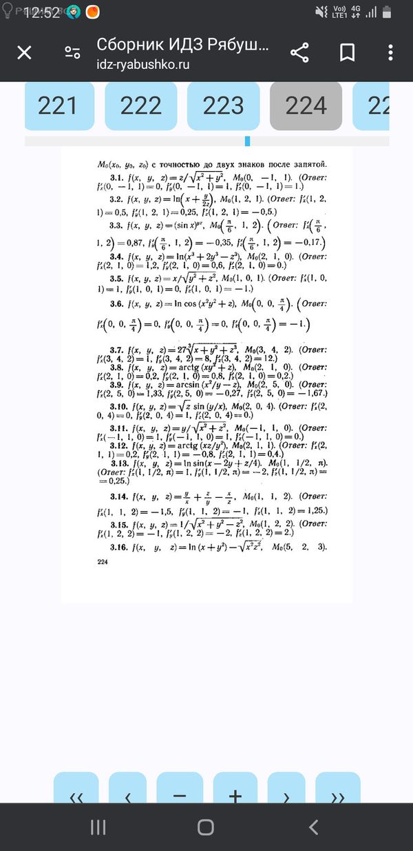
Условие

номер 3.15

математика колледж 173

Решение

Как я понял, нужно взять производные 1 порядка f'_(x), f'_(y), f'_(z) от функции:
[m]f(x, y, z) = \frac{1}{\sqrt{x^2+y^2-z^2}} = (x^2+y^2-z^2)^{-1/2}[/m]
И найти их значения в точке M_0(1; 2; 2)

Решение.
[m]f'_{x}(x, y, z) = -\frac{1}{2} \cdot (x^2+y^2-z^2)^{-3/2} \cdot 2x = -\frac{1}{2(\sqrt{x^2+y^2-z^2})^3} \cdot 2x = -\frac{x}{(\sqrt{x^2+y^2-z^2})^3}[/m]
[m]f'_{x}(M_0) = -\frac{1}{(\sqrt{1^2+2^2-2^2})^3} = -\frac{1}{(\sqrt{1})^3} = -\frac{1}{1}= -1[/m]

[m]f'_{y}(x, y, z) = -\frac{1}{2} \cdot (x^2+y^2-z^2)^{-3/2} \cdot 2y = -\frac{1}{2(\sqrt{x^2+y^2-z^2})^3} \cdot 2y = -\frac{y}{(\sqrt{x^2+y^2-z^2})^3}[/m]
[m]f'_{y}(M_0) = -\frac{2}{(\sqrt{1^2+2^2-2^2})^3} = -\frac{2}{(\sqrt{1})^3} = -\frac{2}{1}= -2[/m]

[m]f'_{z}(x, y, z) = -\frac{1}{2} \cdot (x^2+y^2-z^2)^{-3/2} \cdot (-2z) = \frac{1}{2(\sqrt{x^2+y^2-z^2})^3} \cdot 2z = \frac{z}{(\sqrt{x^2+y^2-z^2})^3}[/m]
[m]f'_{z}(M_0) = \frac{2}{(\sqrt{1^2+2^2-2^2})^3} = \frac{2}{(\sqrt{1})^3} = \frac{2}{1}= 2[/m]

Ответ: f'_(x)(M_0) = -1, f'_(y)(M_0) = -2, f'(_z)(M_0) = 2

Написать комментарий

Меню

Присоединяйся в ВК