Задать свой вопрос
*более 50 000 пользователей получили ответ на «Решим всё»
Задача 77532
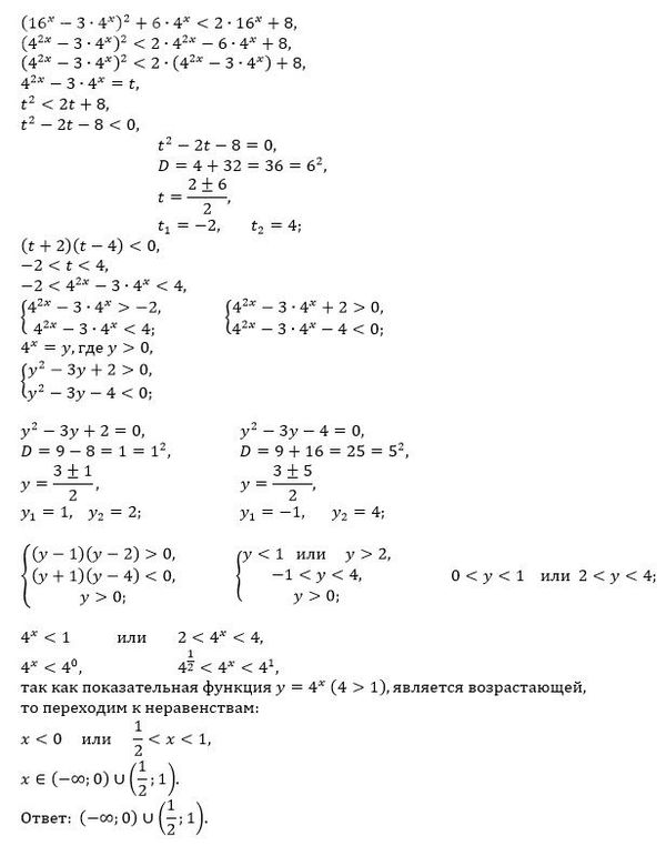
(16^x-3*4^x)^2+6*4^x<2*16^x+8...
Условие
664841c682e8587d6f1aabfe
5/18/2024 5:52:31 AM
(16^x-3*4^x)^2+6*4^x<2*16^x+8
10-11 класс
132
Решение
5f3eaa23faf909182968dde0
5/18/2024 6:28:29 AM
★
Написать комментарий
Меню
Решим всё
Найти задачу
Категории
Статьи
Тесты
Архив задач
Присоединяйся в ВК