Задать свой вопрос   *более 50 000 пользователей получили ответ на «Решим всё»

Задача 77491 Вычислить определенные интегралы,...

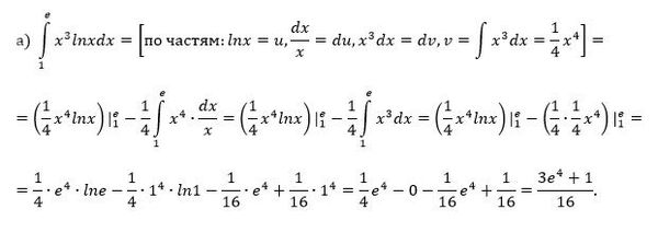
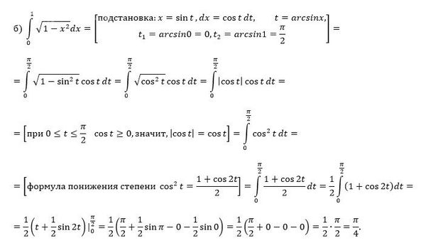
Условие

Вычислить определенные интегралы, напишите подробное решение с коментариями, и формулами, заранее спасибо.

математика ВУЗ 125

Решение

Написать комментарий

Меню

Присоединяйся в ВК