Задать свой вопрос   *более 50 000 пользователей получили ответ на «Решим всё»

Задача 77412 ...

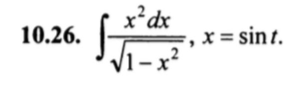
Условие

используя указанные замены переменной, найти интегралы

10.26. ∫ (x² dx) / √(1 - x²), x = sin t.

математика ВУЗ 171

Решение

[m]x=sint[/m]

[m]1-x^2=1-sin^2t=cos^2t[/m]


[m]\sqrt{1-x^2}=\sqrt{cos^2t}=cost[/m]


[m]dx=(sint)`dt=costdt[/m]


Тогда


[m] ∫ \frac{x^2}{\sqrt{1-x^2}}dx= ∫ \frac{sin^2t}{cost}\cdot costdt= ∫ sin^2tdt= ∫ \frac{1-cos2t}{2}dt=\frac{1}{2} ∫ dt-\frac{1}{2} ∫ cos2tdt=[/m]

[m]=\frac{1}{2}t-\frac{1}{2}\cdot (\frac{1}{2}sin2t)+C=\frac{1}{2}t-\frac{1}{4}sin2t+C[/m]


===========
Обратный переход к переменной х
[m]sint = x[/m] ⇒ [m]t = arcsinx[/m]

[m]cost=\sqrt{1-x^2}[/m]

[m]sin2t=2sint\cdot cost=2\cdot x\cdot \sqrt{1-x^2}[/m]

===========



[m]=\frac{1}{2}arcsinx-\frac{1}{4}\cdot 2\cdot x\cdot \sqrt{1-x^2}+C=\frac{1}{2}arcsinx-\frac{1}{2}x\cdot \sqrt{1-x^2}+C[/m]


О т в е т.[m]\frac{1}{2}arcsinx-\frac{1}{2}x\cdot \sqrt{1-x^2}+C[/m]

Написать комментарий

Меню

Присоединяйся в ВК