Задать свой вопрос
*более 50 000 пользователей получили ответ на «Решим всё»
Задача 77411
...
Условие
663d2c9828a0db7674c079cc
5/9/2024 8:16:15 PM
используя указанные замены переменной, найти интегралы
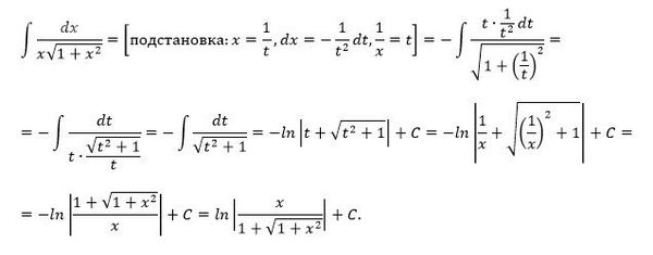
10.25. ∫(dx / (x√(1 + x²))), x = 1/t.
математика ВУЗ
214
Решение
5f3eaa23faf909182968dde0
5/10/2024 5:34:26 AM
★
Написать комментарий
Меню
Решим всё
Найти задачу
Категории
Статьи
Тесты
Архив задач
Присоединяйся в ВК