Задать свой вопрос   *более 50 000 пользователей получили ответ на «Решим всё»

Задача 77316 ...

Условие

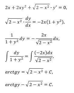
Найдите общий интеграл дифференциального уравнения (Ответ выразите в виде . ψ(x, y) = C): 2x + 2x * y ^ 2 + √(2 - x ^ 2) * y' = 0

математика ВУЗ 217

Решение

Написать комментарий

Меню

Присоединяйся в ВК