Задать свой вопрос   *более 50 000 пользователей получили ответ на «Решим всё»

Задача 77238 [b]Исследовать ряды на абсолютную и...

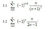
Условие

[b]Исследовать ряды на абсолютную и условную сходимость:[/b]

математика ВУЗ 123

Решение

3.1. Ряд из модулей:
[m]\Sigma_{n=1}^{\infty} \frac{n}{(n+1)^2}[/m]
Этот ряд аналогичен ряду:
[m]\Sigma_{n=1}^{\infty} \frac{n}{n^2} = \Sigma_{n=1}^{\infty} \frac{1}{n}[/m]
Это гармонический ряд, он расходится.
Ответ: ряд сходится условно.

3.2. Ряд из модулей:
[m]\Sigma_{n=1}^{\infty} \frac{n}{2n-1}[/m]
Этот ряд аналогичен ряду:
[m]\Sigma_{n=1}^{\infty} \frac{n}{2n} = \Sigma_{n=1}^{\infty} \frac{1}{2} [/m]
Этот ряд расходится.
Ответ: ряд расходится

Написать комментарий

Меню

Присоединяйся в ВК