Задание 1. а) Подпространства L1 и L2 пространства R^5 заданы однородными системами уравнений:
L1 = {x1 - x3 + 2x4 + x5 = -2x1 + x2 + x4 + x5 = x2 + 2x3 - 2x1 + x5 = 0},
L2 = {x1 + 3x2 - 2x3 = -4x1 + 4x2 = -x3 - x4 = 0}.
Найдите базис суммы L1 + L2 этих подпространств.
б) Подпространство L1 пространства R^5 задано однородной системой уравнений:
L1 = {-3x1 + x2 + x3 - 2x4 + x5 = 2x1 + x2 - 2x3 + x4 + x5 = 0}.
Подпространство L2 пространства R^5 порождено векторами
b1 = (0, 5, 5, 5, 0), b2 = (1, 0, -1, 2, 1), b3 = (-3, 0, 5, 1).
Найдите базис суммы L1 + L2 этих подпространств.
в) Подпространства L1 и L2 пространства R^5 заданы однородными системами уравнений:
L1 = {2x2 + 3x3 - x5 = -x1 + x2 = 2x4 = 0},
L2 = {2x1 + x2 - 2x3 + x5 = x1 + x5 = 2x1 + x2 + x3 + 2x4 = 0}.
Найдите базис суммы L1 + L2 этих подпространств.
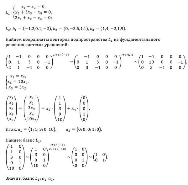
г) Подпространство L1 пространства R^5 задано однородной системой уравнений:
L1 = {x1 - x2 = x2 + 3x3 - x5 = 2x1 + x2 = x3 = 0}.
Подпространство L2 пространства R^5 порождено векторами
b1 = (-1, 2, 0, 1, -2), b2 = (0, -3, 5, 1, 1), b3 = (1, 4, -2, 1, 9).
Найдите базис суммы L1 + L2 этих подпространств.
Задание 2. а) Подпространство L1 пространства R^4 порождено векторами
a1 = (1, 2, 1, -2), a2 = (2, 3, 1, 0), a3 = (1, 2, 2, -3),
а подпространство L2 — векторами
b1 = (1, 1, 1, 1), b2 = (1, 0, 1, -1), b3 = (1, 3, 0, -4).
Найдите базис пересечения L1 и L2 этих подпространств.
б) Подпространство L1 пространства R^4 порождено векторами
a1 = (1, 1, 0, 0), a2 = (0, 1, 1, 0), a3 = (0, 0, 1, 1),
а подпространство L2 — векторами
b1 = (1, 0, 1, 0), b2 = (0, 2, 1, 1), b3 = (1, 2, 1, 2).
Найдите базис пересечения L1 и L2 этих подпространств.
в) Подпространство L1 пространства R^4 порождено векторами
a1 = (2, 0, 3, -1), a2 = (0, 0, -5, 1), a3 = (-1, 1, 1, -2),
а подпространство L2 — векторами
b1 = (1, 1, -1, -2), b2 = (1, 1, 1, 1), b3 = (2, 0, -2, 0).
Найдите базис пересечения L1 и L2 этих подпространств.
