Задать свой вопрос   *более 50 000 пользователей получили ответ на «Решим всё»

Задача 77087 b) Найти площадь фигуры, ограниченной...

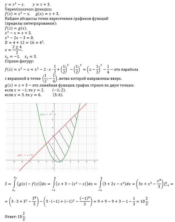
Условие

b) Найти площадь фигуры, ограниченной линиями: y=x^2-x, y=x+3.

математика 10-11 класс 167

Решение

Все решения

Найдем абсциссы точек пересечения графиков:

x^2-x=x+3

x^2-2x-3=0

D=4+12=16

x_(1)=(2-4)/2 или x_(2)=(2+4)/2

x_(1)=-1; x_(2)=3


[a;b]=[-1;3]


По правилу:

[m]S= ∫ _{a}^{b}(f(x)-g(x))dx[/m]


f(x)=x+3 - графиком функции служит прямая, проходящая через точки (0;3) и (-3;0)

g(x)=x^2-x - графиком функции является парабола, [b]ветви которой направлены вверх. [/b]Парабола пересекает ось Ох в точках

[b](0;0) и (1;0)[/b]




[m]S= ∫ _{3}^{-1}((x+3)-(x^2-x))dx=∫ _{3}^{-1}(2x-x^2+3)dx=(2\frac{x^2}{2}-\frac{x^3}{3}+3x)| _{3}^{-1}=[/m]

[m]=(2\frac{3^2}{2}-\frac{3^3}{3}+3\cdot 3)-(2\frac{(-1)^2}{2}-\frac{(-1)^3}{3}+3\cdot (-1)) =(9-9+9)-(1+\frac{1}{3}-3)=9-1-\frac{1}{3}+3=10\frac{2}{3}[/m]

Написать комментарий

Меню

Присоединяйся в ВК