Задать свой вопрос   *более 50 000 пользователей получили ответ на «Решим всё»

Задача 77048 Убедиться в том, что заданное выражение...

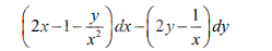
Условие

Убедиться в том, что заданное выражение является полным дифференциалом
некоторой функции u = f (x,y) и найти эту функцию.

математика ВУЗ 159

Решение

Написать комментарий

Меню

Присоединяйся в ВК