Задать свой вопрос
*более 50 000 пользователей получили ответ на «Решим всё»
Задача 76879
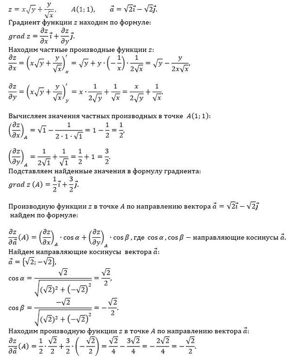
Найти grad z в точке А и производную...
Условие
6558cd92b16b5471ac0a9e92
4/14/2024 7:03:28 PM
Найти grad z в точке А и производную функции z(x,y) в точке А по направлению вектора а.
математика ВУЗ
137
Решение
5f3eaa23faf909182968dde0
4/15/2024 3:49:13 AM
★
Написать комментарий
Меню
Решим всё
Найти задачу
Категории
Статьи
Тесты
Архив задач
Присоединяйся в ВК