Задать свой вопрос
*более 50 000 пользователей получили ответ на «Решим всё»
Задача 76684
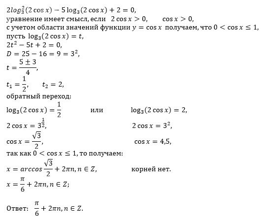
2 log^2_3 (2 cosx) - 5 log_3 (2 cosx) +...
Условие
660fe236ee850957e670eb3b
4/5/2024 11:37:12 AM
2 log^2_3 (2 cosx) - 5 log_3 (2 cosx) + 2 = 0
математика 10-11 класс
889
Решение
5f3eaa23faf909182968dde0
4/5/2024 12:06:23 PM
★
Написать комментарий
Меню
Решим всё
Найти задачу
Категории
Статьи
Тесты
Архив задач
Присоединяйся в ВК