Задать свой вопрос
*более 50 000 пользователей получили ответ на «Решим всё»
Задача 76641
...
Условие
658677fcf6f382387af6dca2
4/2/2024 6:40:52 PM
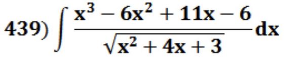
439) ∫ (x^3 - 6x^2 + 11x - 6) / √(x^2 + 4x + 3) dx
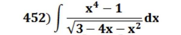
452) ∫ (x^4 - 1) / √(3 - 4x - x^2) dx
математика ВУЗ
115
Решение
5f3eaa23faf909182968dde0
4/2/2024 8:07:51 PM
★
Написать комментарий
Меню
Решим всё
Найти задачу
Категории
Статьи
Тесты
Архив задач
Присоединяйся в ВК