Задать свой вопрос
*более 50 000 пользователей получили ответ на «Решим всё»
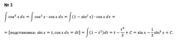
Задача 76610
интегралы №3 и №4 из блока "задания на 4...
Условие
64c75b82b635261bba022a6f
4/1/2024 10:35:50 AM
интегралы №3 и №4 из блока "задания на 4 и 5"
математика ВУЗ
157
Решение
5f3eaa23faf909182968dde0
4/1/2024 10:38:41 AM
★
Написать комментарий
Меню
Решим всё
Найти задачу
Категории
Статьи
Тесты
Архив задач
Присоединяйся в ВК