Задать свой вопрос
*более 50 000 пользователей получили ответ на «Решим всё»
Задача 76515
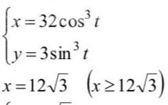
Вычислить площади фигур, ограниченные...
Условие
65f7ecb7ba05947c7386e747
3/27/2024 2:37:01 PM
Вычислить площади фигур, ограниченные линиями, заданными параметрическими уравнениями
математика ВУЗ
184
Решение
5f3eaa23faf909182968dde0
3/28/2024 6:20:48 PM
★
Написать комментарий
Меню
Решим всё
Найти задачу
Категории
Статьи
Тесты
Архив задач
Присоединяйся в ВК