Задать свой вопрос
*более 50 000 пользователей получили ответ на «Решим всё»
Задача 76095
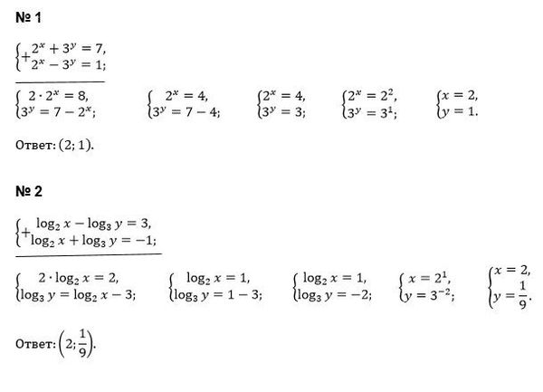
Все системы уравнений! ДАМ 170...
Условие
65c9ea3ddb54e15118de0831
3/3/2024 8:23:58 PM
Все системы уравнений!
ДАМ 170 баллов!!!!!!!
математика 10-11 класс
178
Решение
5f3eaa23faf909182968dde0
3/4/2024 8:25:40 AM
★
Написать комментарий
Меню
Решим всё
Найти задачу
Категории
Статьи
Тесты
Архив задач
Присоединяйся в ВК