Задать свой вопрос
*более 50 000 пользователей получили ответ на «Решим всё»
Задача 75955
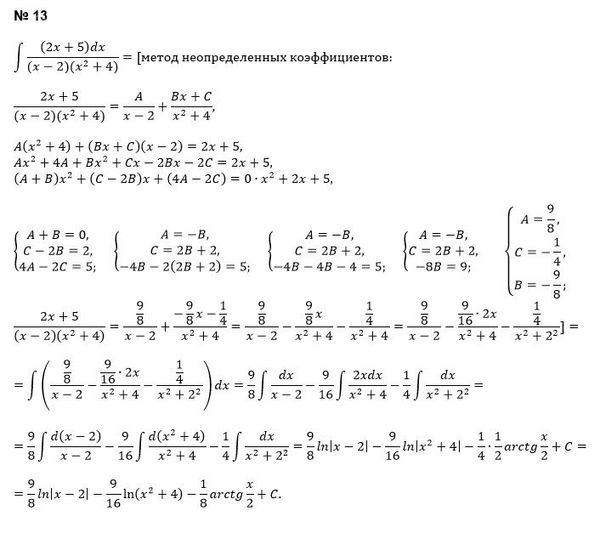
решить интеграл номер 13, 14,15...
Условие
64c75b82b635261bba022a6f
2/22/2024 8:38:32 AM
решить интеграл номер 13, 14,15
математика ВУЗ
142
Решение
5f3eaa23faf909182968dde0
2/22/2024 9:05:55 AM
★
Написать комментарий
Меню
Решим всё
Найти задачу
Категории
Статьи
Тесты
Архив задач
Присоединяйся в ВК